• (372) 512 1197
  • İletişim
  • Arama Yap
  • Site Haritası
  • Anasayfa
T.C. MİLLÎ EĞİTİM BAKANLIĞI ZONGULDAK / GÖKÇEBEY Gökçebey Mesleki ve Teknik Anadolu Lisesi Atatürk Köşesi
  1. Anasayfa
  2. Duyurular
2025-2026 EĞİTİM ÖĞRETİM YILI MESEM SINIF LİSTELERİ

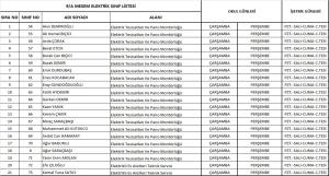
2025-2026 EĞİTİM ÖĞRETİM YILI MESEM SINIF LİSTELERİ

0 16.09.2025 216

16-09-202516-09-202516-09-202516-09-202516-09-202516-09-2025

İLGİLİ İÇERİKLER

22 Eylül İtibariyle Güncel Ders Programı

21-09-2025

Eğitim Neferlerine Minnet Kampanyası Afiş

21-09-2025

2025-2026 EĞİTİM ÖĞRETİM YILI MESEM SINIF LİSTELERİ

16-09-2025

OKULUMUZ 2025-2026 EĞİTİM-ÖĞRETİM YILI DERS PROGRAMI

15-09-2025

2025-2026 EĞİTİM ÖĞRETİM YILI ÜLKE GENELİ ORTAK YAZILI SINAV...

15-09-2025
Devamı >>
Geri Bildirim

İletişim

Adres:
ON MAYIS MAH.UZUNAHMETLER CAD.NO148 Gökçebey / ZONGULDAK

Telefon
03725121197


e-Posta Göndermek İçin Tıklayın
MEB © - Tüm Hakları Saklıdır. Gizlilik, Kullanım ve Telif Hakları bildiriminde belirtilen kurallar çerçevesinde hizmet sunulmaktadır.